Online Local Search - Yousef's Notes
Online Local Search

Online Local Search

Hill-climbing and local search:

  • would work because of locality, only keep one state
  • but would get stuck in a local maxima, now way to move

Random walk algorithm:

  • Explore the environment, selecting action at random
  • Works in finite and safely explorable spaces
  • Will eventually finish, but can take a long time.

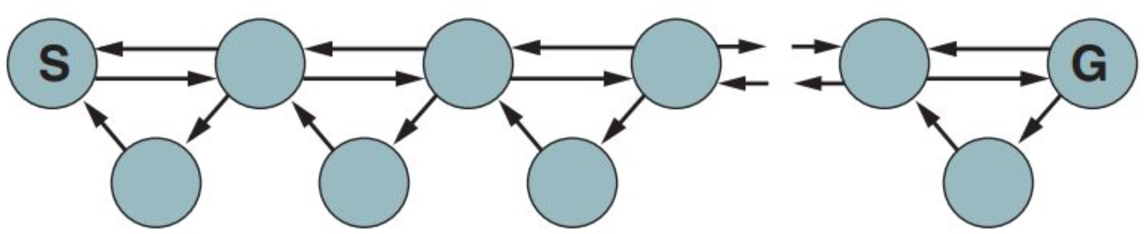
Worst case scenario for random walk, time exponential with number of states:

Hill-climbing augmented by memory: for each state: c(s, a, s’) + H(s')

Results in Learning Real-Time A* (LRTA*):

  • Builds a map of the environment
  • Chooses the apparent best of current estimates
  • New actions always have h(s) (lowest possible cost): optimism under certainty

#Learning in Online Local Search

Learning the map of the environment:

  • Recording the outcome of each action for a state Learning better estimates of the cost of each state:
  • Updating local rules
Test yourself on QuizBuilder.ai